
사과나무 주요 병해에 대한 Bacillus velezensis MWS28 균주처리의 방제효과 및 저항성 유전자 발현 분석
초록
기후변화로 인한 잦은 강우와 이상기온 환경은 사과에 곰팡이병 발생 빈도와 피해 규모를 증가시켜 생산량과 품질 저하의 핵심 원인으로 지목되고 있다. 본 연구는 토양 유래 균주인 Bacillus velezensis MWS28이 사과 갈색무늬병과 탄저병 방제에 대한 현장 효능을 평가하고 식물 방어 유전자 발현 분석을 통해 작용 메커니즘을 규명하고자 하였다. MWS28 경엽처리 시 10일차 갈색무늬병 67.0%, 탄저병 69.1%의 방제 효과를 보였으며, 관주처리 시에는 40일차 갈색무늬병 59.4%, 탄저병 49.0%의 방제효과를 보였다. MWS28 처리군에서는 대조군에 비해 항산화 관련 유전자인 AKR과 CAT, 병 저항성 관련 유전자인 PR1, PR2, PR5, PR8, 그리고 방어 신호 조절 전사인자인 WRKY1, WRKY33, WRKY70의 발현이 전반적으로 유의하게 증가하였다. 특히 AKR과 CAT 유전자는 각각 5~250배 이상과 17,500~100,000배까지 발현이 크게 유도되었으며, PR1, PR2, PR5, PR8 유전자는 7~45배 수준의 발현 증가를 보였다. 또한 WRKY1과 WRKY33은 각각 3~7배 및 7~9배 발현이 증가하였고, WRKY70은 관주 처리 시 5배 이상 발현이 유도되었다. 이러한 결과는 MWS28 처리가 항산화 반응과 병 저항성 관련 방어 기작을 신속하고 뚜렷하게 활성화함을 시사하며, MWS28 균주가 생산하는 항균 물질이 병원균에 대한 직접 억제 효과와 더불어, 식물체 자체의 내재적 방어시스템인 유도전신저항성을 활성화하여 나타나는 복합적인 기작의 결과로 해석된다. 따라서 MWS28 균주는 화학 농약 사용을 절감하고, 농약 저항성 문제를 관리하며, 지속가능한 사과 생산 체계를 구축하는데 기여 할 수 있는 매우 유망한 생물학적 자원으로 평가된다.
Abstract
One of the main causes of decline in production and quality of apples has been the increased frequency and scale of fungal diseases due to recurrent rainfall and abnormal temperatures, which are signs of climate change. In our study, we identified the field efficacy of a soil-borne Bacillus velezensis MWS28 strain to control apple Marssonia blotch (brown spot disease) and Anthracnose. Ed-highlight-In the rest of the abstract, this is referred to as brown spot disease. The nomenclature must be consistent throughout the manuscript. We elucidated the mechanism of fungicidal action by analyzing the gene expression of the apple tree’s defense system. On the 10th day after the trees were sprayed with MWS28, brown spot disease was controlled by 67% and anthracnose was controlled by 69.1%. On the 40th day, brown spot disease was controlled by 59.4% and anthracnose was controlled by 49%. There was a significant increase in the expression of antioxidant-related genes AKR and CAT, disease resistance-related genes PR1, PR2, PR5, and PR8, and defense signal regulating transcription factors WRKY1, WRKY33, and WRKY70 in the trees treated with MWS28 compared to those of the control (no treatment) group. In particular, AKR expression was significantly induced 5 to 250 times and those of the CAT genes were significantly induced 17 500 to 100 000 times. The expression of the PR1, PR2, PR5, and PR8 genes increased 7 to 45 times. Our results suggest that MWS28 treatment rapidly and significantly activates antioxidant responses and defense mechanisms related to disease resistance. Our results suggest a complex mechanism in which the antimicrobial substances produced by the MWS28 strain directly inhibit pathogens and activate induced systemic resistance, which is an intrinsic defense system of the apple tree. We can conclude that the MWS28 strain is a potential, valuable bioresource that could contribute to reducing the use of chemical pesticides, managing pesticide resistance problems, and establishing a sustainable apple production system. Ed-highlight-The word ‘significantly’ has been used without providing statistical data to support the conclusions.
Keywords:
Apples, Bacillus velezensis MWS28 strain, Climate change, Induced systemic resistance, Intrinsic defense system, Pathogen inhibition키워드:
사과, 생물방제, 기후변화, 전신유도저항성서 론
사과(Malus domestica)는 국내 과수산업에서 경제적, 문화적으로 매우 중요한 위치를 차지하는 대표적인 작물이다. 그러나 최근 전세계적인 기후 변화는 국내 농업 환경에 큰 변화를 가져왔으며, 특히 사과 재배 농가에 심각한 도전 과제를 안겨주고 있다. 여름철 장마의 장기화와 국지성 호우의 빈번한 발생, 그리고 이상기온 현상은 각종 병해충의 발생에 유리한 조건을 제공한다(Lee et al., 2024).
농촌진흥청 보고에 따르면 사과에 발생하는 병해는 약 41종에 달하며(National Institute of Horticultural and Herbal Sciences, 2023), 이 중 갈색무늬병(Marssonina coronariae), 탄저병(Colletotrichum spp.), 겹무늬썩음병(Botryosphaeria dothidea), 점무늬낙엽병(Alternaria mali) 등은 생산량 및 상품성 저하의 주요 원인으로 알려져 있다. 이러한 병해 관리는 지금까지 주로 화학적 합성 농약에 의존해 왔으나, 동일 계통 농약의 반복 사용은 병원균의 약제 저항성을 유발하여 방제 효과를 점차 감소시킨다(Varah et al., 2020). 실제로 사과 검은별무늬병균(Venturia inaequalis)의 경우 티오파네이트 메틸 등 다양한 살균제에 대한 저항성이 보고된 바 있다(Chapman et al., 2011). 또한, 농약의 과다 사용은 토양 및 수질 오염, 생태계 교란 등 농업환경에 부정적인 영향을 미칠 뿐 아니라, 수확물의 잔류농약은 소비자의 식품 안전에 대한 우려를 증대시키고 있다. 이러한 문제들은 지속 가능한 농업 생태계를 구축하고 안전한 먹거리를 생산해야 한다는 사회적 요구와 상충된다(Cobos AGZ et al., 2024).
이에 따라 화학 농약의 의존도를 줄이면서 병해를 효과적으로 관리할 수 있는 대안으로 생물학적 방제제(Biocontrol Agents, BCAs)의 활용이 주목받고 있다.
생물학적 방제는 길항미생물이나 천적 등을 이용하여 병해충의 밀도를 경제적 피해수준 이하로 억제하는 친환경적 방제기술로, 환경친화적이며 인축에 대한 안전성이 높다는 장점이 있다. 특히 식물 근권이나 잎 표면에 서식하며 식물과 공생하는 유익미생물, 즉 식물생장촉진근권세균(Plant Growth-Promoting Rhizobacteria, PGPR)은 병 방제뿐만 아니라 식물생장을 촉진하는 등 복합적인 기능을 가지고 있어 그 활용 가치가 매우 높게 평가된다(Chandran H et al., 2021).
다양한 길항미생물 중에서도 Bacillus 속 세균은 생물학적 방제제로 가장 활발히 연구되고 상업적으로 활용되는 그룹 중 하나이다. 이들은 열악한 환경에서도 내생포자(endospore)를 형성하여 장기간 생존할 수 있어 제제화 및 유통에 유리하며, 다양한 대사산물을 통해 강력한 병 방제 효과를 나타낸다(Ramírez-Pool JA et al., 2024).
최근 분류학적 재정립을 통해 Bacillus amyloliquefaciens의 하위 그룹에서 독립된 종으로 인정받은 Bacillus velezensis는 특히 다재다능한 능력으로 주목받고 있다. B. velezensis는 농업 생산성 향상에 기여하는 세가지 주요 작용기작을 가지고 있다.
첫재, 직접적인 길항 작용(Direct Antagonism)이다. B. velezensis는 이투린(iturin), 서팩틴(surfactin), 펜지신(fengycin)과 같은 강력한 항진균성 리포펩타이드(lipopeptide)와 바실리신(bacilysin), 디피시딘(difficidin)과 같은 폴리케타이드(polyketide) 등 다양한 항생 물질을 생산한다. 이러한 물질들은 병원성곰팡이의 세포막을 파괴하거나 생장을 억제하여 직접적으로 병을 제어한다(Romeo et al., 2007). 또한 키틴 분해효소(chitinase)와 글루칸분해효소(glucanase) 등 세포벽 분해효소를 분비하여 병원균의 세포벽을 손상시킨다(Jin et al., 2025).
둘째, 유도전신저항성(Induced Systemic Resistance, ISR)의 활성화이다. B. velezensis가 식물의 뿌리나 잎에 정착하면, 식물은 이를 비병원성 미생물로 인식하여 면역체계를 미리 활성화 시키고, 실제 병원균이 침입할 때 더욱 신속하고 강력한 방어반응을 유도한다. 이 과정에서 살리실산(Salicylic acid, SA) 및 자스몬산/에틸렌(Jasmonic acid/Ethylene, JA/ET) 신호전달경로가 활성화되며, 병원성 관련 단백질(Pathogenesis-Related, PR)의 생성이 촉진된다. 이러한 반응은 식물체 전체에 걸쳐 나타나는 전신적 저항성을 유도하여 광범위한 병원균에 대한 방어력을 높여준다(Samaniego-Gámez et al., 2023, Ryu, 2010, Yoo and Sang, 2017).
셋째, 식물 생장촉진(Plant Growth Promotion, PGP) 기능이다. B. velezensis는 옥신(auxin) 생성, 불용성 인산의 가용화, 사이드로포어(siderophore) 생산 등을 통해 식물의 양분 흡수를 증진시키고 생육을 촉진한다(Yeo et al., 2009, Kang et al., 2012). 생육이 우수한 식물은 병해에 대한 저항성 향상되므로, 이는 간접적인 병 방제 효과로도 이어진다(Zhong et al., 2024). 그러나 사과 재배 기간 중에 발생하는 주요 병해에 대한 포괄적인 포장방제 효과와 그 기저에 있는 복합적인 저항성유전자 네트워크의 활성화를 동시에 규명한 연구는 아직 미흡한 실정이다.
본 연구는 이러한 학문적, 산업적 필요성에 기반하여, 우수한 길항능력을 가진 것으로 알려진 Bacillus velezensis MWS28 균주(이하 MWS28)를 이용하여 사과재배에 있어 발생하는 주요 병해의 실질적인 문제 해결에 기여하고자 하였다. 이를 위해 사과나무의 주요 잎 병해인 갈색무늬병과 과실 병해인 탄저병에 대한 MWS28의 방제효과를 경엽처리 및 토양 관주처리를 통해 정량적으로 평가하였다. 또한 MWS28이 사과나무의 내재적 방어기작을 활성화하는지를 규명하기 위해, 항산화 시스템, PR 단백질, 그리고 방어신호 전달조절인자인 WRKY 전사인자 관련 유전자들의 발현양상을 분자생물학적 수준에서 분석하였다.
재료 및 방법
Bacillus velezensis MWS28 배양
MWS28(Accession No. MK208682) 균주는 생육이 우수한 포도나무 근권의 토양에서 분리하여 병원균 생장억제가 가장 우수한 균주를 선발하였다(Jin et al., 2018). MWS28 균주는 Tryptic Soy Broth (TSB; Difco, USA) 배지를 사용하여 30°C, 150 rpm 조건의 진탕 배양기에서 48시간 동안 배양하였다. 배양 후 균체는 원심분리(8,000 rpm, 10 min)를 통해 회수하였으며, 인산완충식염수(PBS, pH 7.4)로 2회 세척하였다. 균주 현탁액의 농도는 분광광도계(spectrophotometer)를 이용하여 600 nm에서의 흡광도(OD₆₀₀)를 측정하여 추정하였고, 희석 평판법(dilution plating method)을 통해 최종 처리 농도를 1.0 × 109 cfu/ml로 조정하여 실험에 사용하였다.
MWS28을 이용한 사과 병해 방제효과 시험포장
사과 갈색무늬병과 탄저병 방제효과 시험은 자연 발생하는 사과원에서 ‘후지’ 품종을 대상으로 시험하였으며, 시험구는 반복당 1주를 대상으로 3반복을 완전임의로 배치하였다(Table 1). 무처리구는 처리구의 비산을 고려하여 버퍼존을 충분히 두어 배치하였다. 또한, 시험포장은 살균제 영향을 피하기 위해 만개 후부터 수확기까지 타 살균제는 처리하지 않았고, 살충제는 사과 관행재배를 따랐다.
MWS28을 이용한 사과 갈색무늬병 및 탄저병 방제효과 평가
사과 갈색무늬병과 탄저병에 대한 방제효과를 알아보기 위해 MWS28 현탁액(1 × 108 cfu/ml)을 100배 희석하여 6월 상순부터 10일 간격으로 갈색무늬병 시험구는 4회, 탄저병 시험구는 7회 처리하였다. 시험구는 MWS28 경엽처리구, MWS28 관주처리구로 구성 하였다. 두 병해에 대해 경엽처리는 주당 4L, 토양관주처리는 주당 40L 처리 하였으며, 최종약제처리일부터 10일 간격 4회씩 주당 200엽(과)에 대한 발병수를 조사하였다. 조사된 발병엽(과)수는 발병률로 환산하여 방제효과를 평가하였다.
단일연도와 연속 관주처리에 따른 MWS28의 유도저항성 효과 비교
유도저항성 평가는 앞선 갈색무늬병 방제시험과 동일한 방법으로 MWS28 현탁액(1 × 109 cfu/ml)을 100배 희석하여 주당 40L씩 토양관주를 수행하였다. 약제처리시기는 매년 6월 상순 10일 간격 4회씩 처리하였고, 처리구는 단일연도(2025년), 2년 연속(2024–2025년), 3년 연속(2023–2025년) 처리구로 구성하였다. 갈색무늬병 방제효과 조사는 2025년에 실시하였으며 최종약제처리일부터 10일 간격 4회씩 주당 200엽에 대한 갈색무늬병의 발병엽률을 조사하여 MWS28의 연속 처리에 따른 유도저항성 증가 효과를 비교하였다.
MWS28 처리에 의한 저항성 유전자 발현분석
건전한 사과의 신초가 포함된 가지를 채취하여 실험실 조건에서 MWS28 현탁액(1 × 109 cfu/ml)을 분무기를 이용하여 살포하였고, 대조구에는 처리구와 동일한 양의 멸균수를 처리하였다. 처리 후 0, 6, 12, 24, 48, 72시간 경과 시점에서 각 처리구별로 엽을 3반복으로 채취하였다. 채취된 시료는 즉시 액체질소로 급속 동결하여, 분석 전까지 -80°C 초저온 냉동고에 보관하였다. 동결 시료는 액체질소 하에서 분쇄하여 미세분말로 만든 뒤, RNeasy Plant Mini Kit (Qiagen, Germany)를 사용하여 Total RNA를 추출하였다. 추출된 RNA는 NanoDrop 2000 Spectrophotometer (Thermo Fisher Scientific, USA)를 이용하여 순도(A260/A280 ratio)와 농도를 측정하였다. 순도가 1.8−2.1 범위인 RNA 시료 1 μg을 주형으로 iScriptTM cDNA Synthesis Kit (Bio-Rad, USA)를 사용하여 역전사 반응을 수행하였고 cDNA를 합성하였다. 합성된 cDNA를 주형으로 하여 CFX96 Real-Time PCR Detection System (Bio-Rad, USA)과 SsoFastTM EvaGreen® Supermix (Bio-Rad, USA)를 이용해 특정 유전자의 발현을 정량 분석하였다. 분석 대상 유전자와 표준유전자 증폭을 위한 프라이머는 Park et al. (2023)이 제작한 프라이머를 참고하여 사용하였다(Table 2). RT-PCR 반응조건은 95°C에서 3분간 초기 변성 후, 95°C에서 10초, 60°C에서 30초를 한 주기로 하여 총 40회 반복 증폭하였다. 유전자 발현량의 상대적 정량은 내부 표준유전자인 Actin으로 보정한 후, 2−ΔΔCt방법을 이용하여 계산하였다(Livak and Schmittgen, 2001).
통계분석
모든 실험데이터는 3반복 이상의 평균 ± 표준편차(SD)로 나타내었다. 통계분석은 SAS 9.4 (SAS Corp.,USA) 프로그램을 사용하였다. 포장시험에서 얻어진 처리구 간 발병률 및 방제가 데이터는 분산분석(ANOVA)을 실시한 후, Duncan 다중범위검정 (Duncan's Multiple Range Test, DMRT)을 통해 P<0.05 수준에서 유의성을 검정하였다. 유전자 발현 분석 데이터는 각 시간대별 처리군과 대조군간의 발현량차이를 Student'st-test를 이용하여 P<0.05 및 P<0.01 수준에서 유의성을 분석하였다.
결과 및 고찰
MWS28을 이용한 사과 갈색무늬병 및 탄저병 방제효과 검정
경엽처리를 결과, 최종약제처리 후 10일차 조사에서 갈색무늬병 6.7%, 탄저병 5.0% 발병하여 각각 67.0%, 69.1%의 방제효과를 보였으며 무처리구 대비 유의성이 나타났다(Table 3, Table 4, Fig. 1, Fig. 2). 이후 시간이 경과함에 따라 40일차에 갈색무늬병 35.8%, 탄저병 39.8%를 보였지만, 탄저병의 경우 30일차에도 52.9%의 방제효과를 유지하여 유기농업자재 효능·효과 등록 기준(무처리 대비 50% 이상)을 충족하였다. MWS28 경엽처리 시 사과의 엽이나 과실 표면에 부착되어 직접적으로 병원균에 작용하여 효과가 즉각적으로 나타났다. 이러한 결과는 겨자채 흰가루병, 포도 흰얼룩병, 감귤 저장병, 고추 탄저병에 방제 효과를 나타냈다는 보고와 일치하였다(Jin et al., 2018, Lee et al., 2012, Lee et al., 2016, Park et al., 2018). 다만 미생물기반 방제제는 온습도, 강수량, 광노출 등 환경요인의 영향을 받아 현장 적용시 약효 변동성이 존재하는 것으로 알려져 있으며(Kim, 2007; Torres-Rodriguez et al., 2022), 본 연구에서도 처리 후 시간이 경과함에 따라 방제효과가 감소하는 경향이 확인되었다.
MWS28 관주처리시, 최종약제처리 후 10일차 갈색무늬병 37.4%, 탄저병 40.1%로 무처리구 대비 유의성은 있었으나, 병해관리용 방제제로 사용하기에는 충분하지 않은 수준이었다. 그러나 갈색무늬병의 경우 30일차 52.8%, 40일차 59.4%의 방제효과를 보였으며, 이는 무처리구에서 발병률이 빠르게 증가한 데 비해 처리구에서는 증가폭이 낮아 상대적인 방제효과가 커진 것으로 판단된다.
MWS28의 식물병 방제 효과는 단일기작이 아닌 여러 메커니즘이 복합적으로 작용한 결과로 해석 되는데, 이는 크게 직접적 길항작용과 유도전신저항성(ISR)을 통한 간접적 방제라는 두 가지 축으로 설명할 수 있다. MWS28이 생산하는 물질을 분석한 결과 Iturin과 Surfactin이 확인되었는데, 이러한 리포펩타이드 계열 항생물질들은 곰팡이의 세포막을 파괴하거나 막 유동성을 변화시켜 세포사멸을 유도하는 것으로 알려져 있다(Tao et al., 2024). Kim et al.(2021)은 MWS28과 같은 계열의 B. velezensis AK-0 균주의 게놈분석 결과, 8개의 2차대사산물 생합성클러스터를 확인하였으며, Park et al. (2024)은 B. velezensis GYUN-1190 균주가 생산하는 휘발성 유기화합물 (VOCs)과 배양여과액이 사과 탄저병균(Colletotrichum fructicola)의 균사생장과 포자발아를 효과적으로 억제한다고 보고하였다. 또한, Rashid et al. (2017)은 B. velezensis가 biofilm 형성 및 Surfactin 생성 등을 통해 벼의 병원성 미생물에 대한 전신유도저항성을 유도한다고 하였으며, Chen et al. (2024)은 β-1,3-glucanase 등 방어 관련 효소의 활성을 촉진하고 SA 및 JA 신호 경로를 활성화하여 수박 시들음병을 발병을 억제한다고 보고한 바 있다.
본 연구 결과, MWS28은 경엽처리와 관주처리 모두에서 무처리 대비 병 발생을 유의하게 억제하였으며, 이는 MWS28이 다양한 적용방식으로 사과병해 방제에 활용될 수 있는 잠재력을 가졌음을 보여준다. 경엽처리는 병원균이 주로 침입하는 잎과 과실 표면에 직접 작용하여 즉각적인 효과를 기대할 수 있으며, 관주처리는 뿌리에 정착하여 식물 전체의 저항성을 지속적으로 유도하고 토양 내 병원균 밀도를 억제하는 장기적인 효과를 가져올 수 있다(Podile and Kishore, 2006). 이는 재배환경 및 병 발생 양상에 따라 단독 또는 병행처리 전략을 활용할 수 있을 것으로 판단된다.
단년도와 연속년도 관주처리에 따른 MWS28의 유도저항성 효과 비교
MWS28의 연속 처리 효과를 확인하기 위해 단년도, 2년 연속, 3년 연속 관주처리구의 갈색무늬병 발병률을 비교하였다(Fig. 3). 최종약제처리 후 10일차 조사에서 2년 및 3년 연속 처리구의 방제효과는 단년도 처리구보다 15.4%, 13.8% 높았다. 20일차 조사에서도 단년도 처리구가 30.8%의 방제효과를 보인 반면, 2년 및 3년 연속 처리구는 51.5% 높은 방제효과를 보였다. 2년연속 처리와 3년연속 처리구간 방제가는 차이가 보이지 않았다. 이러한 결과로 보아 MWS28이 일시적으로 작용한 것이 아니라 연속처리에 의해 근권에 안정적으로 정착하면서 유도저항성이 발현되었고, 그 효과가 다음해까지 지속되어 단년도 처리보다 방제효과가 빠르게 나타난 것으로 사료된다. 일반적으로 토양에 유입된 길항미생물은 초기에는 토착 미생물군과의 경쟁과 환경 스트레스 등으로 인하여 정착하는데 어려움을 겪는다. 그러나 반복적으로 길항미생물을 처리하여 토양 내 밀도를 유지 및 증가시키고 토양 환경에 대해 적응시키면 장기적으로 정착 가능성을 향상 시킬 수 있다(Knights ET AL., 2024, Romano et al., 2020). 실제로 Bacillus amyloliquefaciens NJN-6을 포함한 Bio 유기질 비료를 연속적으로 처리한 연구에서는 2년 이상 연속 처리 시 시들음병 억제 효과가 유의하게 향상되었으며, 동시에 근권 내 유익 세균 군집의 안정화가 관찰되었다(Shen et al., 2015; Lin et al., 2016). 또한, 연속 처리된 미생물제제는 근권에서 항균물질 생산, 양분 경쟁, 병원균 억제성 미생물의 상대적 증가 등을 통해 토양의 억제성(suppressiveness)을 점진적으로 강화할 수 있다. Lin et al.(2016)은 연속적인 bio-organic fertilizer 처리가 근권 세균 군집의 다양성과 안정성을 높여, 병원균 침입 후에도 억제 기능을 유지하는 회복력 있는 미생물 생태계를 형성한다고 보고하였다. 또한 길항미생물 처리는 식물체의 유도저항성을 누적적으로 강화했을 가능성도 고려할 수 있다. 미생물에 의해 유도되는 ISR은 즉각적인 방어 반응보다는 프라이밍 상태를 형성하여, 이후 병원균 침입 시 방어 반응을 빠르고 강하게 유도하는 특성을 가진다(Verhagen et al., 2004). 이러한 프라이밍 효과는 단일 처리보다는 반복 처리에서 더 안정적으로 유지되며, 다년간 처리 시 식물–미생물 상호작용이 점차 안정화되는 경향이 보고되어 있다(Song and Ryu, 2018).
MWS28 처리에 의한 저항성 유전자 발현분석
MWS28 균주가 어떻게 사과나무의 병 저항성을 높이는지 그 기작을 이해하기 위해, 저항성과 관련된 세 가지 주요 유전자 그룹(항산화 관련 유전자, 병원성 관련유전자, WRKY 전사인자)의 발현양상을 RT-PCR로 분석하였다. 그 결과, MWS28 처리는 이들 방어 관련 유전자의 발현을 신속하고 강력하게 유도하는 것으로 나타났다.
MWS28 처리 후 항산화 효소 관련 유전자인 AKR(Aldo-Keto Reductase)과 CAT(Catalase)의 발현을 분석한 결과, 두 유전자 모두 처리 후 시간 경과에 따라 발현량이 유의하게 증가하였다(Fig. 4). 특히, AKR 유전자는 처리 후 12시간째에, CAT 유전자는 24시간째에 최대 발현 수준을 보인 후 점차 감소하는 경향을 보였다 관주처리시 최고 발현량은 AKR의 경우 무처리 대비 250배, CAT의 경우 105배 이상이었으며, 스프레이처리시 최고 발현량은 각각 무처리 대비 5배, 17500배로 처리방법에 따른 발현량의 차이가 크게 나타났다. 항산화 유전자의 발현유도는 식물의 방어과정에서 발생하는 부수적인 피해를 최소화하는 중요한 기작이다. 병원균 침입 시 식물은 방어 신호 및 직접적인 살균 작용을 위해 활성산소종(ROS)을 폭발적으로 생산하는데, 이는 병원균 뿐만 아니라 식물 자신의 세포에도 손상을 줄 수 있다. CAT, APX와 같은 항산화효소는 과도한 ROS를 제거하여 세포를 보호하는 역할을 한다. MWS28처리에 의해 AKR, CAT 유전자의 발현이 선제적으로 증가한 것은, 식물이 본격적인 방어 반응에 돌입했을 때 발생할 수 있는 산화 스트레스에 미리 대비하도록 하여, 방어의 효율성을 높이고 부작용을 줄이는 정교한 전략으로 해석할 수 있다. 따라서 MWS28은 항산화 시스템을 미리 활성화시키는 '프라이밍' 역할을 수행함을 시사한다.
Expression of AKR (Aldo-Keto Reductase), CAT (Catalase), and APX (Ascorbate Peroxidase) genes after MWS28 treatment. Data represent means ± SD for three technical replicates. Statistical analysis was performed using one sample Student t-test. Relative expression levels were normalized to hpi 0. Single stars denote P < 0.05, while double stars denote P < 0.01.
PR(Pathogenesis-Related) 단백질은 식물이 병원균의 공격에 맞서기 위해 생산하는 핵심적인 방어 물질 그룹이다(Zribi et al., 2021). 본 연구에서는 다양한 PR 유전자군 (PR1, PR2, PR5, PR8)의 발현 변화를 조사하였다. 그 결과, MWS28 처리 후 모든 PR 유전자의 발현이 대조군에 비해 현저하게 증가하는 것을 확인하였다(Fig. 5). 정도의 차이는 있었으나 모든 PR 유전자들이 처리방법에 관계없이 12시간 이내에 무처리대비 5~48배 이상 발현량이 증가하였으며, 72시간까지 5~30배이상 높은 발현수준을 유지하였다. PR1은 전신획득 저항성(SAR)의 대표적인 표지 유전자로, 처리 후 24시간부터 급격히 발현이 증가했다. PR2와 PR8은 곰팡이 세포벽의 주성분인 글루칸과 키틴을 직접 분해하는 효소로, 이들 유전자의 발현 증가는 MWS28 처리가 곰팡이 병원균에 대한 직접적인 방어능력을 강화시킴을 의미한다. 세포막 투과성을 변화시켜 항진균 활성을 나타내는 PR5 또한 다른 PR 유전자들과 유사하게 발현이 크게 상향되었다. PR1과 PR2는 살리실산(SA) 의존적 방어 반응의 대표적인 지표 유전자로 알려져 있으며, PR5와 PR8은 SA뿐만 아니라 자스몬산/에틸렌(JA/ET) 관련 방어 반응과도 연관된 것으로 보고되어 있다(Fang et al., 2025, Han and Schneiter, 2024). 본 연구에서는 SA 또는 JA/ET 신호전달 물질의 직접적인 정량 분석은 수행하지 않았으나, 기능적으로 상이한 PR 유전자들의 이러한 동시 발현 양상은 기존 문헌에 근거할 때 SA 매개 방어 반응을 중심으로 JA/ET 관련 방어 기작이 함께 관여하는 복합적이고 다층적인 방어 반응이 유도되었을 가능성을 시사한다. 이러한 방어반응의 특성은 MWS28이 갈색무늬병, 탄저병 등 생활사가 다른 다양한 곰팡이 병원균에 대해 비교적 광범위한 방제 스펙트럼을 나타내는 기작적 배경으로 해석될 수 있다. 한편, MWS28 균주 처리가 직접적인 항균 활성과 더불어 유도저항성(ISR)을 동시에 유발하는 경우, 방어 반응의 지속적 활성화로 인해 작물체의 생장이나 자원 분배에 불리한 생리적 부담(fitness cost)이 발생할 가능성도 고려할 필요가 있다. 따라서 MWS28 처리에 따른 방어 효과와 생장 간의 균형을 평가하는 추가적인 생리·생육 수준의 검토가 요구된다.
Expression of PR1 (Pathogenesis-Related Protein1), PR2 (β-1,3-Glucanase), PR5 (Thaumatin-like Protein, TLP), PR8 (Chitinase), and PR10 (Ribonuclease-like protein) genes after MWS28 treatment.
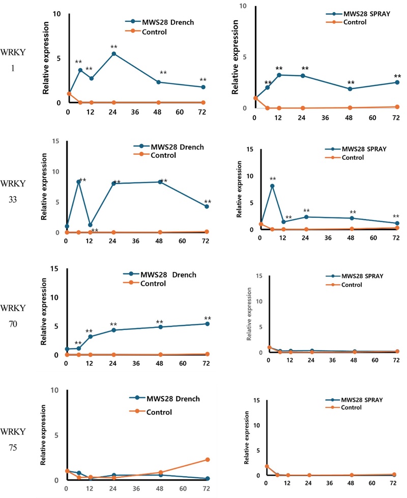
WRKY 전사인자는 식물 방어 신호전달 네트워크에서 상위 조절자 역할을 하는 핵심 단백질이다(Saha et al., 2023). 이들은 다양한 방어 관련 유전자들의 발현을 조절함으로써 식물의 면역 반응을 총괄한다. 본 연구에서 분석한 WRKY1, WRKY33, WRKY70 유전자는 모두 MWS28 처리에 의해 발현이 유의하게 증가하였다(Fig. 6). WRKY1과 33유전자는 처리방법에 관계없이 모두 무처리 대비 5배 이상 증가하였으며, WRKY70 유전자는 관주처리시 72시간까지 무처리 대비 5배이상 높은 발련량을 유지하였다. 특히 WRKY70과 같은 특정 전사인자는 SA와 JA 신호전달경로간의 균형을 조절하여, 생장과 방어 사이의 자원배분을 최적화하고 다양한 종류의 병원균에 효과적으로 대응하도록 돕는다(Emma et al., 2024). 이 유전자의 발현 증가는 MWS28이 식물의 복잡한 호르몬 네트워크를 정교하게 조절하여 최적의 방어 상태를 유도함을 보여준다. WRKY33 역시 식물성 항균물질 생합성을 조절하는 데 중요한 역할을 한다. 따라서 WRKY1, WRKY33, WRKY70의 발현이 모두 증가한 것은 MWS28이 단순히 개별 방어 유전자를 활성화하는 것을 넘어, 식물의 전체적인 방어시스템을 자극하여 광범위하고 체계적인 저항성 반응을 이끌어낸다는 것을 입증하는 중요한 결과이다.
Acknowledgments
본 연구는 농촌진흥청 국립농원과학원 신농업기후변화대응체계구축사업(과제번호: RS-2023-00218680)의 지원을 받아 수행되었으며, 이에 감사드립니다.
이해상충관계
저자는 이해상충관계가 없음을 선언합니다.
REFERENCES
-
Chandran C, Meena M, Prashant Swapnil, 2021. Plant Growth-Promoting Rhizobacteria as a Green Alternative for Sustainable Agriculture, Sustainability 13(19):10986.
[https://doi.org/10.3390/su131910986]
-
Chapman KS, Sundin GW, Beckerman JL, 2011. Identification of Resistance to Multiple Fungicides in Field Populations of Venturia inaequalis. Plant Disease 95(8):921-926.
[https://doi.org/10.1094/PDIS-12-10-0899]
-
Chen Z, Wang Z, Xu W, 2024. Bacillus velezensis WB induces systemic resistance in watermelon against Fusarium wilt. Pest Manag Sci., 80:1423-1434.
[https://doi.org/10.1002/ps.7873]
-
Cobos AGZ, Bykbaev YR, Farfán FP, Perez PC, 2024. Evaluation of pesticide contamination risks and sustainable practices in Ecuadorian agriculture, Scientific Reports 14:26034.
[https://doi.org/10.1038/s41598-024-76733-y]
-
Dutilloy E, Arias A, Richet N, Guise J, Duban M et al., 2024. Bacillus velezensis BE2 controls wheat and barley diseases by direct antagonism and induced systemic resistance. Appl Microbiol Biotechnol. 108(1):64.
[https://doi.org/10.1007/s00253-023-12864-y]
-
Fang X, Xie Y, Yuan Y, Long Q, Zhang L et al., 2024. The role of salicylic acid in plant defense responses against biotic stresses. Plant Hormones 1, Article number: e004.
[https://doi.org/10.48130/ph-0025-0003]
-
Han Z, Schneiter R, 2024. Dual functionality of pathogenesis-related proteins: defensive role in plants versus immunosuppressive role in pathogens. Front. Plant Sci. 15.
[https://doi.org/10.3389/fpls.2024.1368467]
-
Harman G, Howell C, Viterbo A, Chet I, Lorito M, 2004. Trichoderma species-opportunistic, avirulent plant symbionts, Nat. Rev. Microbiol 2:43-56.
[https://doi.org/10.1038/nrmicro797]
-
Jin M, Tang Y, Yang R, Zeng Q, Duan M et al., 2025. Identification and Genomic Insights into the Biological Control and Growth-Promoting Mechanism of Bacillus velezensis L11-7, a Potential Biocontrol Agent of Passion Fruit Stem Basal Rot, Microorganisms 13(9):2084.
[https://doi.org/10.3390/microorganisms13092084]
-
Jin SR, Lee HM, Nam GW, Park KS, 2018. Biological Control of White Stain Symptom on Grape Fruit by Bacillus velezensis MWS28, KSPS. J. 22(3):345-355.
[https://doi.org/10.7585/kjps.2018.22.4.345]
-
Kang DW, Ryu IH, Han SS, 2012. The isolation of Bacillus subtilis KYS-10 with antifungal activity against plant pathogens. The Korean Journal of Pesticide Science 16(2):178-186.
[https://doi.org/10.7585/kjps.2012.16.2.178]
-
Kenfaoui J, Dutilloy E, Benchlih S, Lahlali R, Ait-Barka E et al., 2024. Bacillus velezensis: a versatile ally in the battle against phytopathogens-insights and prospects. Appl Microbiol Biotechnol. 108(1):439.
[https://doi.org/10.1007/s00253-024-13255-7]
- Kim DS, 2007. Current Status and Prospects of Biological Pesticide Development (1) - Understanding Biological Pesticides, Life and Agrochemicals. 28(2):26-29.
-
Kim YS, Lee YM, Cheon WS, Park JW, Kwon HT et al., 2021. Characterization of Bacillus velezensis AK-0 as a biocontrol agent against apple bitter rot caused by Colletotrichum gloeosporioides. Scientific Reports 11(1):626.
[https://doi.org/10.1038/s41598-020-80231-2]
-
Knights HE, Ramachandran VK, Jorrin B, Ledermann R, Parsons JD et al, 2024. Rhizobium determinants of rhizosphere persistence and root colonization. ISME J. 18(1):wrae072.
[https://doi.org/10.1093/ismejo/wrae072]
-
Lee JH, Seo MW, Kim HG, 2012. Isolation and Characterization of an Antagonistic Endophytic Bacterium Bacillus velezensis CB3 the Control of Citrus Green Mold Pathogen Penicillium digitatum, Kor. J. Mycol. 40(2):118-123.
[https://doi.org/10.4489/KJM.2012.40.2.118]
- Lee SY, Choi KS, Lee DH, Do YS, Yoon JB et al., 2024. Pest Occurrence and Temperature Rising Trend in Major Apple Growing Areas in South Korea, KSAFM 26(4):251-270.
-
Lee SY, Weon HY, Kim JJ, Han JH, 2016. Biocontrol of Leaf Mustard Powdery Mildew Caused by Erysiphe cruciferarm using Bacillus velezensis YP2, Korean J. pestic. Sci. 20(4):369-374.
[https://doi.org/10.7585/kjps.2016.20.4.369]
-
Livak KJ, Schmittgen T, 2001. Analysis of Relative Gene Expression Data Using Real-Time Quantitative PCR and the 2−ΔΔCT Method, Methods 25(4):402-408.
[https://doi.org/10.1006/meth.2001.1262]
- National Institute of Horticultural and Herbal Sciences, 2023. Apple Disease Guide, Wanju-gun, Korea of republic.
-
Park SE, Ban SH, Han AR, Lee SY, Choi C, 2023. Identifying early response genes against apple Marssonina blotch via comparative gene expression analysis between resistant and susceptible cultivars. Physiological and Molecular Plant Pathology 125:101975.
[https://doi.org/10.1016/j.pmpp.2023.101975]
-
Park JK, Seo SI, Han GH, Kim KM, Kim DH, et al., 2018. Development of Microbial Formulation and Biological Properties Using Bacillus velezensis GH1-13, KSBB Journal 33(4):237-246.
[https://doi.org/10.7841/ksbbj.2018.33.4.237]
- Park KS, 2011. Development of biopesticide and role of Bacillus SPP. KIC News 14(4):1-11.
-
Podile AR, Kishore GK, 2006. Plant growth-promoting rhizobacteria. Plant-Associated Bacteria 195-230.
[https://doi.org/10.1007/978-1-4020-4538-7_6]
-
Ramírez-Pool JA, Calderón-Pérez B, Ruiz-Medrano R, Ortiz-Castro R, Xoconostle-Cazares B, 2024. Bacillus Strains as Effective Biocontrol Agents Against Phytopathogenic Bacteria and Promoters of Plant Growth. Microbial Ecology 87:76.
[https://doi.org/10.1007/s00248-024-02384-1]
- Rashid M, Hwang JH, Chung YR, 2017. Complete genome sequence of Bacillus velezensis YC7010, an endophytic bacterium with plant growth promoting, antimicrobial and systemic resistance inducing activities in rice, Korean J. Microbiology 53(4):329-331.
-
Romano I, Ventorino V, Pepe O, 2020. Effectiveness of Plant Beneficial Microbes: Overview of the Methodological Approaches for the Assessment of Root Colonization and Persistence, Front. Plant Sci. 11.
[https://doi.org/10.3389/fpls.2020.00006]
-
Romero D, Vicente A, Rakotoaly RH, Dufour SE, Veening JW et al., 2007. The Iturin and fengycin Families of Lipopeptides Are Key Factors in Antagonism of Bacillus subtilis Toward Podosphaera fusca, MPMI 20(4):430-440.
[https://doi.org/10.1094/MPMI-20-4-0430]
-
Rubio MB, Quijada NM, Pérez E, Domínguez S, Monte E, et al., 2014. Identifying beneficial qualities of Trichoderma parareesei for plants. Appl Environ Microbiol. 80(6):1864-73.
[https://doi.org/10.1128/AEM.03375-13]
- Ryu CM, 2010. Development of plant disease control technology using induced systemic resistance, Korea Research Institute of Bioscience and Biotechnology.
-
Saeid A, Prochownik E, Dobrowolska-Iwanek J, 2018. Phosphorus solubilization by Bacillus species. Molecules 23(11):2897.
[https://doi.org/10.3390/molecules23112897]
-
Saha B, Nayak J, Srivastava R, Samal S, Kumar D, 2023. Unraveling the involvement of WRKY TFs in regulating plant disease defense signaling. Planta 28; 259(1):7.
[https://doi.org/10.1007/s00425-023-04269-y]
-
Samaniego-Gámez BY, Valle-Gough RE, Garruña-Hernández R, Reyes-Ramírez A, Latournerie-Moreno L et al., 2023. Induced Systemic Resistance in the Bacillus spp.—Capsicum chinense Jacq.—PepGMV Interaction, Elicited by Defense-Related Gene Expression, Plants 12(11):2069.
[https://doi.org/10.3390/plants12112069]
-
Seo ST, Cheong SR, Park JH, Han KS, 2006. Selection of antagonistic bacteria for biocontrol of Botrytis cinerea causing Gray mold on Vitis SPP., Res. Plant Dis 12(3):267-271.
[https://doi.org/10.5423/RPD.2006.12.3.267]
- Song GC, Ryu CM, 2018. Evidence for Volatile Memory in Plants: Boosting Defence Priming through the Recurrent Application of Plant Volatiles, Molecules and Cells 41(8):724-732.
-
Tao H, Li X, Huo H, Cai Y, Cai A, 2024. Bacillus velezensis Y6, a Potential and Efficient Biocontrol Agent in Control of Rice Sheath Blight Caused by Rhizoctonia solani, Microorganisms 12(8):1694.
[https://doi.org/10.3390/microorganisms12081694]
-
Torres-Rodriguez JA, Reyes-Pérez JJ, Quiñones-Aguilar EE, Hernandez-Montiel LG, 2022. Actinomycete Potential as Biocontrol Agent of Phytopathogenic Fungi: Mechanisms, Source, and Applications, Plants J. 11(23):3201.
[https://doi.org/10.3390/plants11233201]
-
Varah A, Ahodo K, Coutts SR, Hicks HL, Comont D et al., 2020. The costs of human-induced evolution in an agricultural system. Nat Sustain. 3(1):63-71.
[https://doi.org/10.1038/s41893-019-0450-8]
-
Verhagen BW, Glazebrook J, Zhu T, Chang HS, van Loon LC, Pieterse CM, 2004. The transcriptome of rhizobacteria-induced systemic resistance in arabidopsis. Mol Plant Microbe Interact. 17(8):895-908.
[https://doi.org/10.1094/MPMI.2004.17.8.895]
-
Wu L, Huang Z, Li X, Ma L, Gu Q, et al., 2018. Stomatal Closure and SA-, JA/ET-Signaling Pathways Are Essential for Bacillus amyloliquefaciens FZB42 to Restrict Leaf Disease Caused by Phytophthora nicotianae in Nicotiana benthamiana, Front. Microbiol 9.
[https://doi.org/10.3389/fmicb.2018.00847]
-
Yang NR, Lee SW, Kim HT, Park KS, 2013. Growth Promotion and Induction of Systemic Resistance Against Phytophthora capsici on Red-pepper Plant by Treatment of Trichoderma harzianum MPA167, KJPS 17(4):394-401.
[https://doi.org/10.7585/kjps.2013.17.4.394]
- Yeo SH, Yook YM, Kim HS, 2009. Isolation and Characterization of Plant Growth Promoting Rhizobacterium Bacillus subtilis YK-5 from Soil, KSBB Journal 24:334-340.
-
Yoo SJ, Sang MK, 2017. Induced Systemic Tolerance to Multiple Stresses Including Biotic and Abiotic Factors by Rhizobacteria. Res. Plant Dis 23(2):99-113.
[https://doi.org/10.5423/RPD.2017.23.2.99]
-
Yuan H, Shi B, Wang l, Huang T, Zhou Z et al., 2022. Isolation and Characterization of Bacillus velezensis Strain P2-1 for Biocontrol of Apple Postharvest Decay Caused by Botryosph aeria dothidea. Front. Microbiol. 12.
[https://doi.org/10.3389/fmicb.2021.808938]
-
Zhao D, Wu Y, Qu J, Fang L, Liu C et al., 2025. Complete genome sequence and comparative analysis of Bacillus velezensis Lzh-5 revealits potential for biocontrol and plant gro wth promotion. BMC Microbiology. 25:230.
[https://doi.org/10.1186/s12866-025-03938-0]
-
Zhong X, Jin Y, Ren H, Hong T, Zheng J, et al., 2024. Research progress of Bacillus velezensis in plant di sease control and growth promotion. Front. Ind. Microbiol. 2.
[https://doi.org/10.3389/finmi.2024.1442980]
-
Zribi I, Ghorbel M, Brini F, 2021. Pathogenesis Related Proteins (PRs): From Cellular Mechanisms to Plant Defense. Curr Protein Pept Sci. 22(5):396-412.
[https://doi.org/10.2174/1389203721999201231212736]
Hyemin Lee, The Korea Agro-Materials Research Organization, Master, Writing and editing of the manuscript, https://orcid.org/0009-0007-6417-2660
Sohyoung Oh, Research Institute of International Agriculture Technology and Information, HankyongNational University, Doctor, Corresponding author, https://orcid.org/0000-0001-5827-9209
Moonsu Kang, the Korea Agro-Materials Research Organization, Master, Writing and editing of the manuscript, Methodology design
Kyungseok Park, Research Institute of International Agriculture Technology and Information, HankyongNational University, Doctor, Methodology design





